|
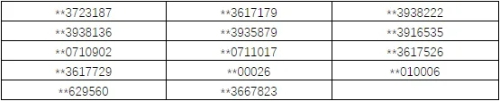
【直报网北京10月14日讯】(三生)守法、诚信经营是企业发展的根本,规范的经营环境是市场发展的保障,对于影响和破坏市场经营秩序的行为,公司一贯零容忍,严厉打击。为了营造和维护良好的市场氛围,绝大多数营销伙伴付出了不懈的努力,自觉抵制扰乱市场价格体系的不正当竞争行为,但仍有个别营销人员为谋一己私利,人为操纵业绩,低价销售或向降价销售者提供产品,造成市场不良影响,通报及措施如下: 一、处理结果 网络低价管理专项工作小组对淘宝、拼多多、京东等电商平台上乱价销售、低价销售、及假货销售的店家长期追踪,不断的调查、取证,确认商家信息,责令涉及违规销售行为的店家在规定时间内按要求调整价格或下架商品,对于涉嫌违法的商家进行司法维权处理。 2024年9月累积下架违规链接15条,恢复正价74条。终止营销人员资格14人。终止的营销人员有: ![]() 二、规则提醒 1、按公司规定的统一价格销售产品,不得私自降价、抬价或变相变价销售。 2、不向任何从事转售或不正当竞争行为的人员/商家提供产品。 3、审慎估算销货量,合理订货,不盲目囤积货品,做好货品管理。 三、违规处罚 1、营销人员利用第三方网络平台变价销售的,一经发现立即暂停业务资格整改,取消本年度各项荣誉奖励;违规三次停卡开除。 2、对于无法落实具体信息的商家,公司将与平台进行法务对接,采取必要措施进行司法维权或关店处理。 四、举报专线 电话:0574-82820092 邮件:scgzb@yofoto.cn
“无信不立,无誉不远”,让我们共同抵制市场乱价行为,保障营销人员和广大消费者的切实利益,共同守护良好的市场环境和公司品牌信誉,保障市场“稳健、规范、永续”的发展。 三生(中国)健康产业有限公司 2024年10月13日 (原标题:三生关于9月网络乱价销售情况的处理通报) 责任编辑:一一 【特别声明:部分文字及图片来源于网络,仅供学习和交流使用,不具有任何商业用途,其目的在于传递更多的信息,并不代表本平台赞同其观点。版权归原作者所有,如涉版权或来源标注有误,请及时和我们取得联系,我们将迅速处理,谢谢!】 解读新闻热点、呈现敏感事件、更多独家分析,尽在以下微信公号,扫描二维码免费阅读。
|














